| System Identification | ![]() |
Transform a model to transfer function form.
Syntax
[num,den] = tfdata(m) [num,den,sdnum,sdden] = tfdata(m) [num,den,sdnum,sdden] = tfdata(m,'v')
Description
m is a model given as any idmodel object with ny output channels and nu input channels
num is a a cell array of dimension ny-by-nu. num{ky,ku} (note the curly brackets) contains the numerator of the transfer function from input ku to output ky. This numerator is a row vector whose interpretation is described below.
Similarily den is an ny-by-nu cell array of the denominators.
sdnum and sdden have the same formats as num and den. They contain the standard deviations of the numerator and denominator coefficients.
If m is a SISO model, adding an extra input argument 'v' (for vector) will return num and den as vectors rather than cell arrays.
The formats of num and den are the same as those used by the Signal Processing Toolbox and the Control System Toolbox, both for continuous-time and discrete-time models. See "Examining Models" in the "Tutorial" chapter and the examples below.
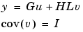
The noise input channels in m are treated as follows: Consider a model m with both measured input channels u (nu channels) and noise channels e (ny channels) with covariance matrix 
where L is a lower triangular matrix. Note that m.NoiseVariance =
. The model can also be described with unit variance, normalized noise source v:
tfdata(m) returns the transfer function G.tfdata(m('n')) returns the transfer function H. (ny inputs and ny outputs)m is a time series, that is nu = 0, tfdata(m) returns the transfer function H.tfdata(noisecnv(m)) returns the transfer function [G H] (nu+ny inputs and ny outputs)tfdata(noisecnv(m,'norm')) returns the transfer function [G HL] (nu+ny inputs and ny outputs.Examples
num = [1 2] den = [1 3 0]
corresponds to the transfer function
num = [2 4 0] den = [1 2 3 5]
corresponds to the transfer function
Note that for discrete time, idpoly and polydata has a different interpretation of the numerator vector, in case it does not have the same length as the denominator vector. To avoid confusion, it is advised to fill out with zeros to make numerator and denominator vectors the same length. That is done by tfdata.
See Also
| timestamp | view | ![]() |